新型酸化方式对农业废弃物堆肥氮转化的影响

Effects of new acidification methods on nitrogen conversion during agricultural waste composting

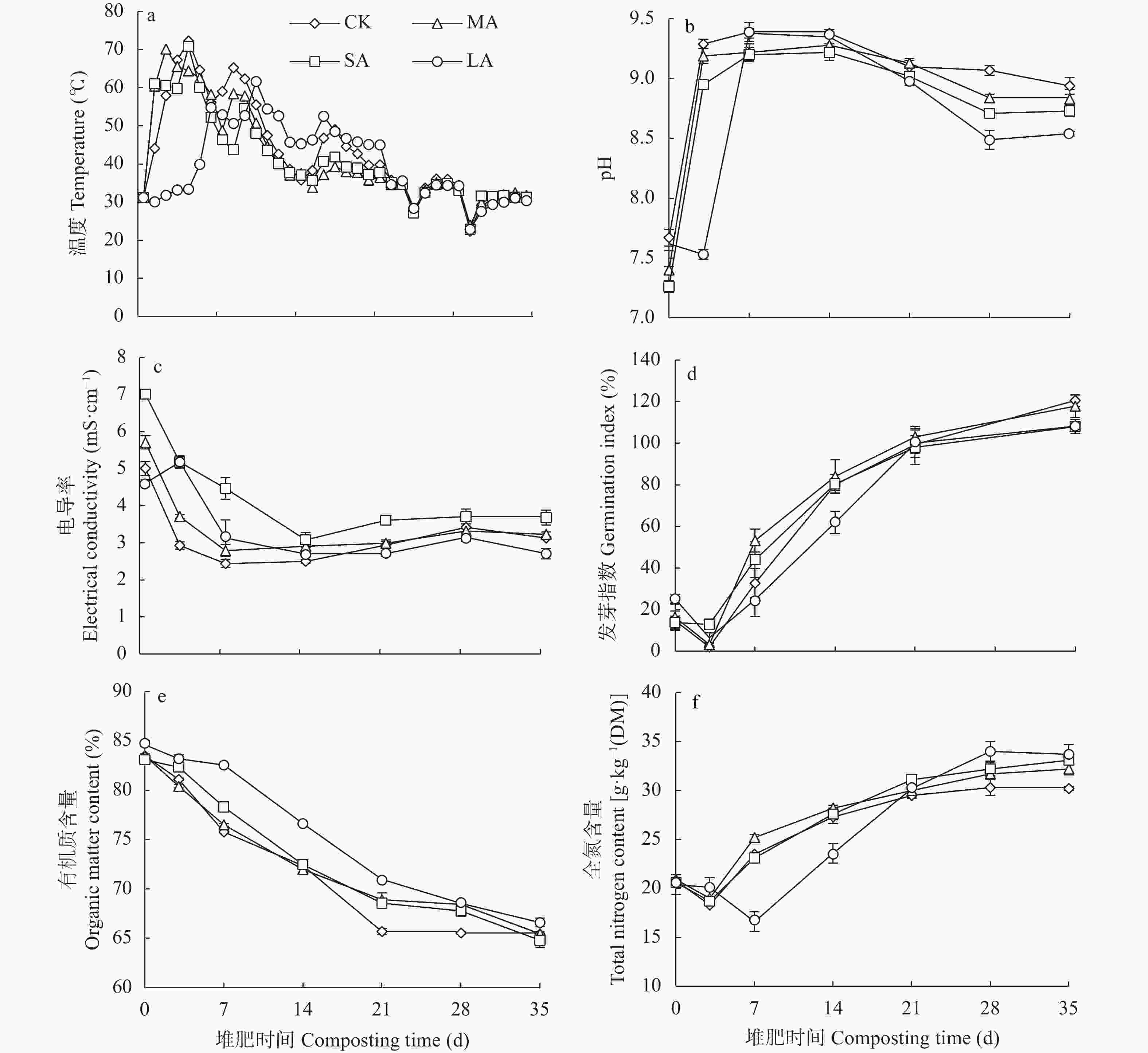
  • 摘要: 酸化是减少堆肥过程中氮素损失的有效手段, 而传统无机酸酸化具有成本高、二次污染严重等缺点, 探究新型酸化工艺对减少堆肥过程中的养分流失和环境污染具有重要意义。本研究以食品残渣(果渣、豆渣)为基质, 通过乳酸菌厌氧发酵制备了一种富含乳酸(70 mmol∙L−1)和乳酸菌(×106 cfu∙mL−1)的酸性调理剂, 用于农业废弃物(猪粪、小麦秸秆)酸化堆肥试验, 设置两种新型酸化方式处理: 添加30%酸性调理剂处理(MA)和添加3%酸性调理剂的厌氧自酸化处理(LA), 同时以不加酸处理(CK)、添加硫酸处理(SA)作为对照。通过分析堆肥过程中理化性质和氮素形态等变化发现, 3种酸化方式的堆肥产品均达到腐熟标准(发芽指数>80), 其中MA处理的腐熟程度最优(发芽指数=117.8%); MA、SA和LA处理的总氮损失较CK分别显著降低14.0%、25.6%和22.2% (P<0.05), 其中NH3挥发量较CK分别显著减少26.0%、36.5%和54.9% (P<0.05); 酸化处理提高了NH4+含量, 促进了硝化过程, 又间接增强了反硝化过程, MA和LA处理显著减少23.1%和69.4%的N2O排放(P<0.05), 而SA处理抑制了N2O的还原, 增加18.3%的N2O排放; 同时MA、SA和LA处理总环境代价相较于CK分别显著降低34.5%、11.0%和55.9% (P<0.05), 且MA和LA每减少1 kg活性氮排放分别需要18.4元和0.9元, 远低于SA处理(91.3元)。综上所述, MA、LA处理可作为降低堆肥过程中氮损失的可行方法, 本研究为堆肥酸化保氮技术提供了理论依据。

     

    Abstract: Aerobic composting is a common method for treating agricultural waste. However, a large amount of nitrogen is lost during composting, which is an important problem in agricultural waste composting. Material acidification is an effective method to reduce nitrogen loss during composting, while conventional acidification using inorganic acids has disadvantages such as high cost and secondary pollution. Optimizing the acidification process is of great significance for reducing nutrient loss and environmental pollution during composting. In this study, an acid conditioner was prepared by anaerobic fermentation of lactic acid bacteria with food residues (apple pomace and soybean dregs) as substrates, which were rich in lactic acid (70 mmol·L−1) and lactic acid bacteria (106 cfu·mL−1). Two acidizing methods were designed using the acid conditioner: 1) A certain amount of acid conditioner (30%, w/w) was added directly to acidify the material (MA); 2) a small amount of acid conditioner (3%, w/w) was added with no forced ventilation for the first 3 days of composting to enable the lactic acid bacteria under the acidic conditioners to produce lactic acid achieving self-acidification of compost materials (LA). Meanwhile, we set up two experimental treatments consisting of adding sulfuric acid (SA) and no acidification (CK). Changes in physicochemical properties (temperature, pH, electrical conductivity, germination index of Oenanthe javanica treated with different composts, contents of organic matter and total nitrogen) and treansformation of nitrogen forms (emissions of NH3 and N2O; contents of organic nitrogen, NH4+-N, NO2-N, and NO3-N) during the composting of agricultural waste were analyzed. The results showed that the compost products treated by the three acidification methods all reached the maturity standard (germination index > 80%), and the MA treatment was the best (germination index = 117.8%). The duration of the thermophilic phases (> 50 ℃) of CK, MA, SA, and LA were 10, 10, 9, and 7 days, respectively, all of which reached the harmless standard (> 50 ℃ for at least 7 days). The total nitrogen losses of MA, SA, and LA decreased by 14.0%, 25.6%, and 22.2%, and NH3 volatilization decreased by 26.0%, 36.5%, and 54.9%, compared with CK, respectively. The acidification treatments increased the NH4+-N content, promoted nitrification, and indirectly enhanced denitrification. MA and LA treatments reduced N2O emissions by 23.1% and 69.4%, respectively, whereas SA treatment inhibited N2O reduction and increased N2O emissions by 18.3%. The ReCiPe evaluation method was used to evaluate the total environmental burden of different acidification treatments. The total environmental burden of MA, SA, and LA decreased by 34.5%, 11.0%, and 55.9%, respectively, compared with that of CK, indicating that acidification is an effective way to reduce the environmental burden of composting. By comparing the economic benefits of the three acidifying methods, it was found that the costs of MA and LA treatments were 18.4 Yuan and 0.87 Yuan, respectively, for reducing the emission of 1 kg active nitrogen, which was far lower than that of SA treatment at 91.3 Yuan. These results indicate that MA and LA acidification methods are economically feasible. In conclusion, MA and LA treatments can be feasible methods to reduce nitrogen loss during composting. This study provides a new theoretical basis for composting acidification and nitrogen conservation technology as well as a new scheme for the collaborative treatment of multi-source waste.

     

/

返回文章
返回